IHMC Public Cmaps

        Max Michels
        Die gradlinig, gleichmäßig beschleunigte Bewegung

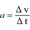
            beschleunigung.bmp
            Die geradlinig, gleichmäßig Beschleunigte Beweung.cmap
            Die geradlinig, gleichmäßig Beschleunigte Beweung Verknüpfung.alias
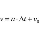
            geschwindigkeit.bmp
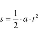
            strecke.bmp
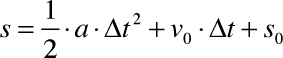
            strecke2.bmp