IHMC Public Cmaps

        Fiestas de fin de año
            Colegio Cervantino
                2011-2012 BIBLIOTECA
                    MEDIA
                        Departamento de Ciencias
                            Física
                                2°medio
                                Cinemática 2

                                    Aceleración.cmap
                                    aceleracion y tipos de movimiento.cmap
                                    Algunos Conceptos importantes posición, desplazamiento.doc
                                    Cinemática-menu central.cmap
                                    Como puede ser la aceleración.jpg
                                    concepto de aceleración.png
                                    Definición de Posición, desplazamiento y distancia recorrida(360p_H.264-AAC).mp4
                                    desplazamiento y distancia recorrida.gif
                                    ejemplo 2 caida libre.png
                                    ejemplo 3 caida libre.png
                                    ejemplos caida libre 1.png
                                    ejercicio de ejemplo posición y desplazamiento.png
                                    Física - Video 09 - g = aceleración de la gravedad_(360p).flv
                                    Física - Video 09 - g = aceleración de la gravedad(240p_H.264-AAC).mp4
                                    Física - Video 25 - Trayectorias.(360p_H.264-AAC).mp4
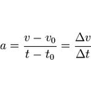
                                    formula aceleracion.jpg
                                    Gaviota copia fondo.jpg
                                    INTERPRETACIONES GRÁFICAS DE LOS TIPOS DE MOVIMIENTO.doc
                                    Locacion de un objeto.cmap
                                    mur.jpg
                                    mura.gif
                                    posicion vs tiempo.jpg
                                    toytube trayectoria en caida vertical.url
                                    Trayectoria circular.gif
                                    trayectorias rectilineas.png
                                    Velocidad.cmap
                                    Velocidad y Rapidez.mp4
                                    video aceleracion de gravedad.url
                                    video caida libre.url
                                    video desplazamiento vs distancia recorrida.url
                                    youtube distancia recorrida vs desplazamiento.url
                                    youtube velocidad y rapidez.url