IHMC Public Cmaps

        S1-Kim
        Notes Cours

            Comparateur.cmap
            EDLCCO1.cmap
            H&A&BL_part01.cmap
            H&A&BL_part02.cmap
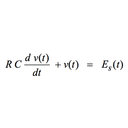
            Image 1.png
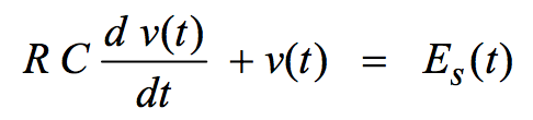
            Image 2.png
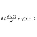
            Image 3.png
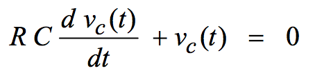
            Image 4.png
            Image 5.png
            Image 6.png
            Modèles.cmap
            V in vs V out.png