WARNING:
JavaScript is turned OFF. None of the links on this concept map will
work until it is reactivated.
If you need help turning JavaScript On, click here.
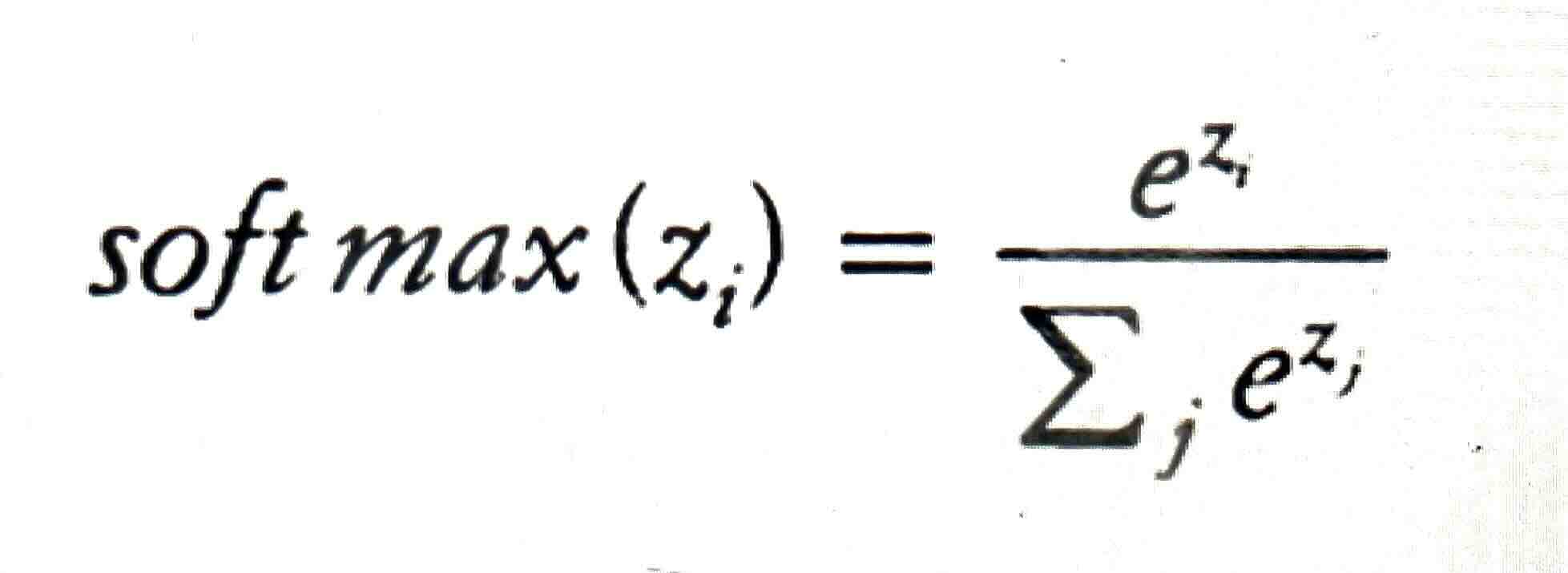
Questa Cmap, creata con IHMC CmapTools, contiene informazioni relative a: IA GENERATIVA, Questo è possibile grazie a funzioni trigonometriche, sinusoidali e cosinusoidali. un’insieme di attività che partono dalle parole (input) presenti nel “prompt” e che vengono trasformate in “token”, A questo numero viene però aggiunta, in contemporanea, un’informazione di posizione (positional encoding), utile al modello per conoscere la vicinanza con gli altri numeri vettoriali. considera che un’unità linguistica che può essere una parola o una parte di parola che vengono trasformate in un vettore numerico: un numero vettoriale tramite una matrice di Embedding., un’unità linguistica che può essere una parola o una parte di parola che vengono trasformate in un vettore numerico: un numero vettoriale tramite una matrice di Embedding. viene inserito A questo punto, nel modello, un meccanismo di Self Attention che crea una sorta di "mappa" di quanto un token e/o i token in una sequenza attirano o influenzano altri token e le relative altre mappe realizzate dal meccanismo di Self Attention., un problema "epistemico", ossia di verità da vita sempre a risposte strutturate su token ed insiemi di token a più alta probablità... ma non corrispondenti per questo alla realtà, un problema "epistemico", ossia di verità che sviluppa inoltre una crescita per "AUTOFAGIA", con i LLM si addestrano sempre più sui loro nuovi "output" che saranno presenti in rete e utilizzati come certezze, il testo viene processato più volte e si passa a produrre un risultato (output) di distribuzione di probabilità con una funzione chiamata Softmax e viene predetto così il token con probabilità più alta e poi viene ripetuto il processo per generare il token successivo fino al termine dell’output (fine della risposta)., per la caratteristica STOCASTICA (statistica e probabilistica) del sui funzionamento ch è inevitabile che la sua risposta è sempre probablistica, IA GENERATIVA funzionamento e problemi analizzata per la caratteristica STOCASTICA (statistica e probabilistica) del sui funzionamento, In sintesi: la temperatura è uno strumento chiave per bilanciare creatività e coerenza nei modelli di intelligenza artificiale generativa, permettendo agli utenti di controllare quanto "avventuroso" o "conservatore" debba essere il modello nel generare testo. dal dover essere un modello "generativo: infatti nei modelli di intelligenza artificiale generativa, come quelli basati su reti neurali di tipo transformer (ad esempio, GPT), un parametro, chiamato "temperatura", controlla la casualità o la varietà delle risposte generate dal modello stesso. Esso modifica la distribuzione di probabilità delle parole che il modello può scegliere per generare il testo successivo. In termini semplici: quando la temperatura è impostata su un valore basso (vicino a 0), il modello diventa più deterministico e tende a scegliere le parole con la probabilità più alta. Questo significa che il modello è più incline a generare risposte prevedibili e sicure, riducendo la creatività ma aumentando la coerenza e la ripetibilità delle risposte. Quando invece la temperatura è più alta (superiore a 1), il modello introduce più casualità nel processo di selezione delle parole. Con una temperatura elevata, il modello può scegliere parole meno probabili, portando a risposte più varie e creative, ma anche potenzialmente meno coerenti o più rischiose, un’insieme di attività che partono dalle parole (input) presenti nel “prompt” e che vengono trasformate in “token” che rappresentano un’unità linguistica che può essere una parola o una parte di parola che vengono trasformate in un vettore numerico: un numero vettoriale tramite una matrice di Embedding., per le conseguenze da considerare attentamente partendo dalla consapevolezza che la IAg non conosce la realtà ma "calcola" sui dati a disposizione, gli algoritmi Transformers che sono uno dei principali motori della IA generativa (AIg) che sono un’insieme di attività che partono dalle parole (input) presenti nel “prompt” e che vengono trasformate in “token”, che la sua risposta è sempre probablistica ne consegue un problema "epistemico", ossia di verità, che tutto questo processo viene “pesato” con ulteriori algoritmi per ottimizzare la risposta considera che così il token con probabilità più alta e poi viene ripetuto il processo per generare il token successivo fino al termine dell’output (fine della risposta)., IA GENERATIVA funzionamento e problemi analizzata per le conseguenze da considerare attentamente, che la IAg non conosce la realtà ma "calcola" sui dati a disposizione ciò comporta che la sua risposta è sempre probablistica, Questo è possibile grazie a funzioni trigonometriche, sinusoidali e cosinusoidali. A questo numero viene però aggiunta, in contemporanea, un’informazione di posizione (positional encoding), utile al modello per conoscere la vicinanza con gli altri numeri vettoriali., per la caratteristica STOCASTICA (statistica e probabilistica) del sui funzionamento realizzata con gli algoritmi Transformers che sono uno dei principali motori della IA generativa (AIg), inoltre a delle "allucinazioni" causate da dal dover essere un modello "generativo: infatti nei modelli di intelligenza artificiale generativa, come quelli basati su reti neurali di tipo transformer (ad esempio, GPT), un parametro, chiamato "temperatura", controlla la casualità o la varietà delle risposte generate dal modello stesso. Esso modifica la distribuzione di probabilità delle parole che il modello può scegliere per generare il testo successivo. In termini semplici: quando la temperatura è impostata su un valore basso (vicino a 0), il modello diventa più deterministico e tende a scegliere le parole con la probabilità più alta. Questo significa che il modello è più incline a generare risposte prevedibili e sicure, riducendo la creatività ma aumentando la coerenza e la ripetibilità delle risposte. Quando invece la temperatura è più alta (superiore a 1), il modello introduce più casualità nel processo di selezione delle parole. Con una temperatura elevata, il modello può scegliere parole meno probabili, portando a risposte più varie e creative, ma anche potenzialmente meno coerenti o più rischiose, sempre a risposte strutturate su token ed insiemi di token a più alta probablità... ma non corrispondenti per questo alla realtà inoltre a delle "allucinazioni"