IHMC Public Cmaps

        I.I. 2021
            LSM
            Venturi

                Arthur.url
                Ddtop.url
                Fiorentini.url
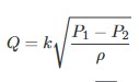
                Formula.jpg
                Grafico.jpg
                Preso.url
                Venturi.cmap
                Video.url
                Wika.url