IHMC Public Cmaps

        Investigación 204
        imagenes Bere

            1 Bere.png
            2. Bere.png
            28 Bere 1.png
            28 Bere 2.png
            3. Bere.png
            32a.png
            32b.png
            34a.png
            34b.png
            4. Bere.png
            5. Bere.png
            6. Bere.png
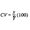
            Coeficiente de variabilidad.png
            Desviación estandar.png
            nombre.png
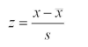
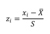
            puntuación.png
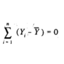
            suma 2.png
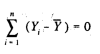
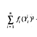
            sumatoria 1.png
            x.png
            x testada.png