IHMC Public Cmaps

        Anndrais Solrem
        Recursos para elementos fónicos segmenatles y supragmentales

            2.2 SonidosVocalicas.jpg
            2.3.1 Por.jpg
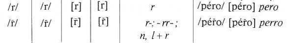
            Alófonos de las sonantes.jpg
            Alófonos de las vócales.jpg
            Alófonos fricativas.jpg
            Alófonos oclusivas.jpg
            img 13 pausas.png
            img 14 llenas.png
            img 15 resilabeo.png
            img 16 acento.png
            img 3 punto de articulación.png
            img 4 modo de articulación.png
            img 5 acción velo.png
            Intervención de los pliegues vocales.png
            Los elementos suprasegmentales.url
            Sonidos Consonanticos (1).docx