WARNING:
JavaScript is turned OFF. None of the links on this concept map will
work until it is reactivated.
If you need help turning JavaScript On, click here.
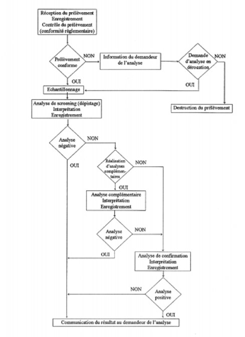
Cette carte de concepts créée avec IHMC CmapTools traite de: Organisation lutte Anti-dopage, Sang Détection Administrations à moyen / long terme, Instances Echelons national / international Fédérations sportives, Instances Echelon national Laboratoires d'analyse, Timing du contrôle A l'élevage, Absorption fonction de Taille des particules, Influence de la pharmacocinétique Distribution tissulaire, Règlementations Procédures / Sanctions, Chromatographie Phase liquide, Instances Echelons national / international Agences de lutte antidopage, Voies d'administration, Matrices biologiques des prélèvements Autres, ELISA, Vétérinaires Acteurs Prélèvements / Analyses, Standardisation des contrôles Procédures strictes Analyse par laboratoire agréé, Règlementations Substances / méthodes prohibées, Techniques de détection Tests immunologiques, Législation Fédérale, Standardisation des contrôles Procédures strictes Prélèvements, Vétérinaires Rôle Préventif / Informatif, Substances / méthodes prohibées Interdiction stricte / permanente