IHMC Public Cmaps

        VETE UCL 1381_ 2019-2020
            Agents dopants groupe 5
            Images groupe 5

                Action cellulaire GH.jpg
                AINS-glucocorticoides.png
                amphétamine.jpg
                Beta2 agonistes.jpg
                bêta-bloquants.jpg
                Beta bloquants molécules.PNG
                Boldénone - equipoise.jpg
                Caféine.png
                Cascade GnRH LH.jpg
                Cheval de course.jpeg
                chevaux de course fond transparent.png
                chevaux de courses.jpg
                chien png.png
                Cinétique voies d'administration.jpg
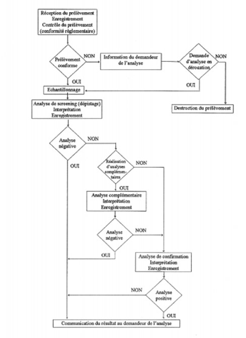
                Circuit analyse des échantillons.jpg
                Contrôle vétérinaire chien.jpg
                course haie png.png
                courses traineaux png.png
                diazépam.jpg
                diurétique image.jpg
                DOG.png
                dressage cheval png.png
                Effets physiologiques GH.jpg
                ELISA.jpg
                EPO fonctionnement.png
                Ex chromatogramme.jpg
                Globules rouges.jpg
                GR.png
                greyhound.jpg
                horse-racing.png
                husky.png
                image.url
                Kit prélèvement urine sang.jpg
                Lévrier.jpg
                Prélèvement sang.jpg
                Prélèvement urine.jpg
                race-horse 1.png
                Rapport anabolisant - androgène.jpg
                Récepteurs nucléaires.jpg
                Régulation GH.png
                reins diurétiques.png
                seringue.png
                seringue.jpg
                Seringue2.png
                Stéroïdes sexuels.jpg
                stimulants amphétamines.jpg
                Synthèse SAA exogènes.jpg
                tranquilisant.jpg