IHMC Public Cmaps

        I.I. 2019
            MGM
                Sensores Capacitivos
                    Imágenes
                    Condensador Plano

                        Detectores de Presencia.JPG
                        Detector Tactil.JPG
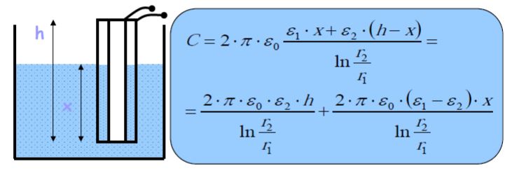
                        Ecuacion Sensor Humedad.JPG
                        Funcionamiento Sensor Aceleración.JPG
                        Liquido conductor.JPG
                        Liquido no conductor.JPG
                        Sensor Aceleracion.JPG
                        Sensores Proximidad.JPG
                        Sensor Presion.JPG
                        Variación Dieléctrico.JPG
                        Variacion Distancia.JPG
                        Variacion Superficie.JPG