WARNING:
JavaScript is turned OFF. None of the links on this concept map will
work until it is reactivated.
If you need help turning JavaScript On, click here.
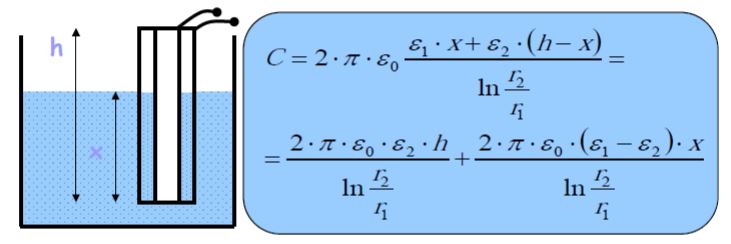
Este Cmap, tiene información relacionada con: Condensador Plano y Cilindrico, CONDENSADOR PLANO Y CILÍNDRICO Condensador Plano, Sensor de Nivel Dependiendo del tipo Líquido no conductor, CONDENSADOR PLANO Y CILÍNDRICO Condensador Cilíndrico, Variación del dieléctrico Aplicaciones Sensor de Nivel, Condensador Cilíndrico Esquema, Condensador Cilíndrico Ecuaciones, Parámetros eo-> constante dieléctrica en el vacío r1-> radio a placa interior r2-> radio a placa exterior h1-> altura del aire h2-> altura líquido, CONDENSADOR PLANO Y CILÍNDRICO Variación de la capacidad en función de la varión de Variación de la distancia, Variación de la distancia Aplicaciones Sensor de presencia, CONDENSADOR PLANO Y CILÍNDRICO Variación de la capacidad en función de la varión de Variación de la superficie, Sensor de Nivel Dependiendo del tipo Líquido conductor, CONDENSADOR PLANO Y CILÍNDRICO Variación de la capacidad en función de la varión de Variación del dieléctrico, Variación de la superficie Aplicaciones Sensores de proximidad, Variación de la distancia Aplicaciones Sensor de aceleración, inclinación, vibración, Parámetros e0 -> constante dieléctrica en el vacío er -> constante dieléctrica relativa d -> distancia entre placas S -> superficie, Condensador Plano Ecuación, Condensador Plano Esquema