IHMC Public Cmaps

        derivadas e integrales julio gomez
        Recursos para julio gomez

            antiderivacion.url
            areas de inte.url
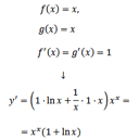
            calculo integral.png
            curso de integral basico.url
            derivacion de funciones.url
            derivada.jpg
            derivadas.url
            derivadas en un punto.url
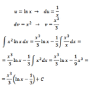
            integral.png
            integrales directas.url
            reglas basicas.url
            solidos.url
            volumenes.url