IHMC Public Cmaps

        CALCULO INTEGRAL V
        Recursos para CALCULO INTEGRAL

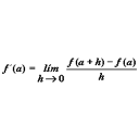
            Derivada1.gif
            DERIVADADE CONSTANTE.url
            DERIVADADE LA FUNCION LINEAL.url
            DERIVADA DE UNA SUMA.url
            DERIVADA DE X.url
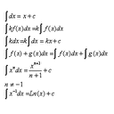
            formu_integrales 1.1.jpg
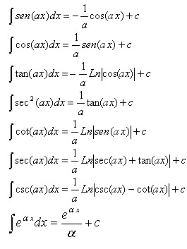
            formu_integrales 11.jpg
            img051.jpg