IHMC Public Cmaps

        JohnMurd
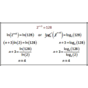
            Logarithm Function
                Teaching Logarithms
                Basics

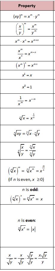
                    Indice Rules.jpg
                    Log and Exp II.jpg
                    Log Basics II.jpg
                    Log Loop II.jpg
                    Log Rules II.jpg
                    Math 1.jpg
                    Math 2.jpg
                    Math 3.jpg
                    Math 4.jpg
                    Math 5.jpg
                    Rule 1.jpg
                    Rule 2.jpg
                    Rule 3.jpg
                    Rule 4.jpg
                    Rule 5.jpg