IHMC Public Cmaps

        FUNCIONES-ROSANA
        Recursos para FUNCIONES

            cartel funciones.jpg
            ciencias sociales.gif
            dominio e imagen.jpg
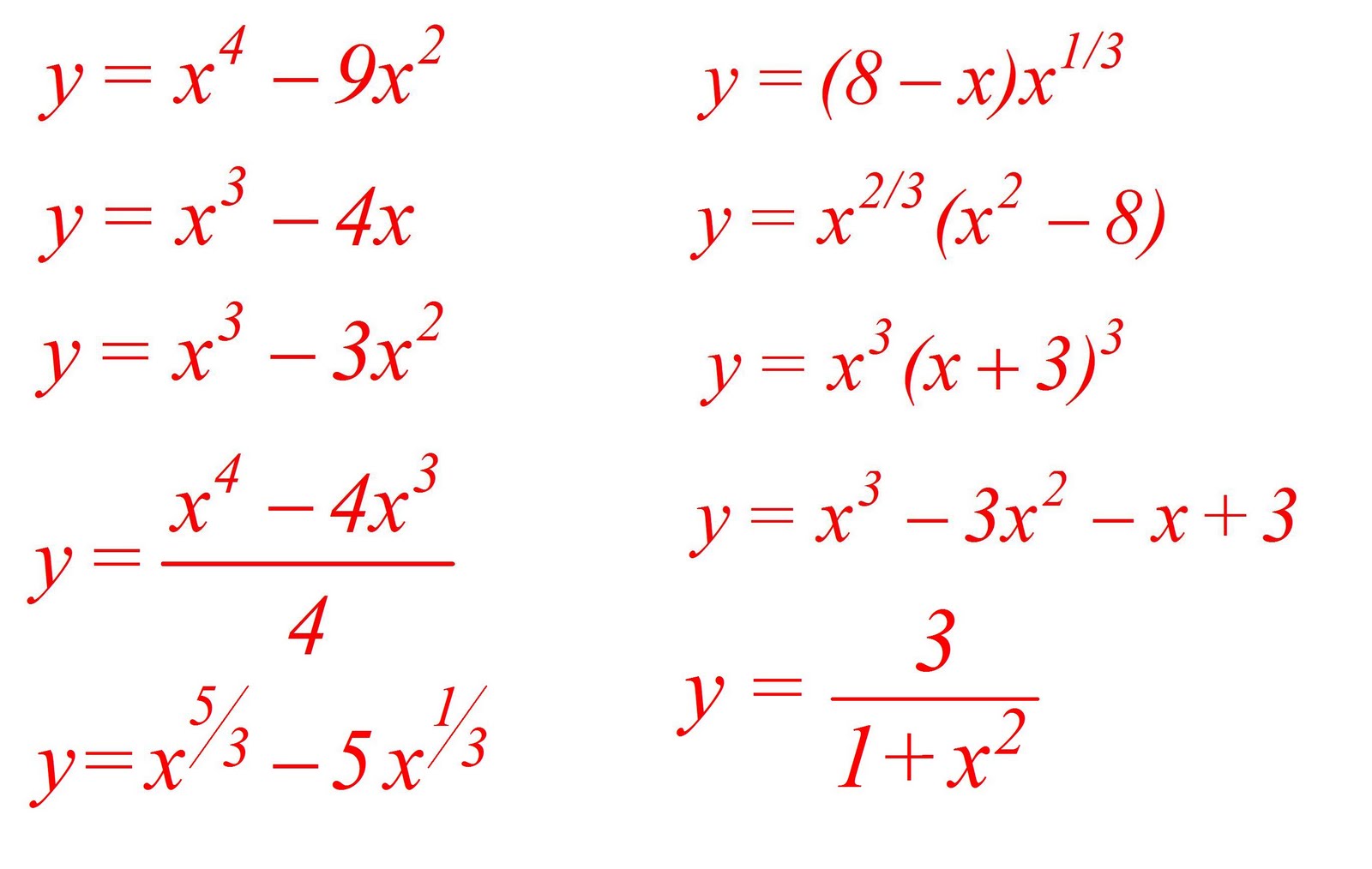
            FORMULAS.png
            Matematica Financiera.url
            representacion grafica.png
            tabla_de_valores.png
            turismo.jpg