IHMC Public Cmaps

    Metodos de puesta a tierra Felipe

        cmapthumbs
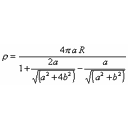
        Formula de resisitividad.gif
        Metodo de caida de potencial.jpg
        Metodo de schlumberger.png
        Metodo de wenner.png
        project.idx.idx
        Puesta a tierra.cmap