IHMC Public Cmaps

        Ivan Bascuñana
        Recursos para Mates 1

            1.png
            1CATET+1ANGLE.png
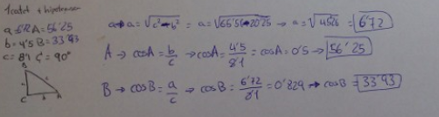
            1CATET+HIPO.png
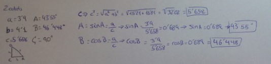
            2CATETS.png
            3.png
            4.png
            5.png
            Clic per veure l'explicació.url
            conjunto de numeros.jpg
            Explicació amb vídeo.url
            Explicació en vídeo.url
            HIPO+1ANGLE.png
            Intervalos en los Reales.jpg
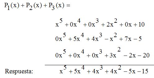
            Polinomio-suma.jpg
            sdfs.png
            simp frac.png
            suma de polinomis.url
            suma resta.png