IHMC Public Cmaps

        RADIACIÓN NO IONIZANTE BILLY (PPP)
            RADIACIÓN NO IONIZANTE BILLY (PPP)
            Procedimiento medición de la radiación no ionizante

                c. lejano.png
                campo cercano.png
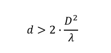
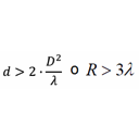
                campo lejano.png
                Campo Lejano.jpg
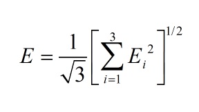
                Fórmula.jpg
                MEDICIÓN.cmap