IHMC Public Cmaps

        Washington Alvarado de Quito Ecuador- EPN - WBAO
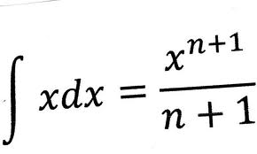
        Integral Indefinida y Definida - Notacion - Metodos de integracion-WBAO

            Imagen Como aprendo integrales con Fracciones Parciales.jpg
            Imagen Integral Indefinida 2.jpg
            Imagen Integral Indefinida Ej 1.jpg