IHMC Public Cmaps

        CSJ4ESO1011
            Funciones elementales
            Recursos

                Cambio de base.png
                Componer funciones.ggb.ggb
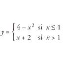
                Función a trozos.png
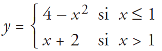
                Función a trozos 2.png
                Función exponencial.png
                Funcion exponencial.ggb.ggb
                Función lineal.png
                Función logarítmica.png
                Función logarítmica.ggb.ggb
                Función prop inversa.ggb.ggb
                Parábola.png
                Parábola.ggb.ggb
                Prop. inversa 1.png
                Prop. inversa 2.png
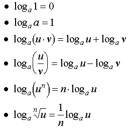
                Propiedades logaritmos.png