WARNING:
JavaScript is turned OFF. None of the links on this concept map will
work until it is reactivated.
If you need help turning JavaScript On, click here.
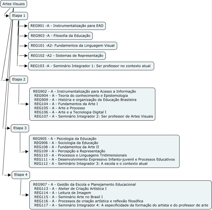
Esse mapa conceitual, produzido no IHMC CmapTools, tem a informação relacionada a: Curriculo do curso, Artes Visuais . Etapa 2, Etapa 4 . REG907 - A - Gestão da Escola e Planejamento Educacional REG113 - A - Atelier de Criação Artística I REG114 - A - Leitura de Imagem REG115 - A - Seminário Arte no Brasil I REG116 - A - Processos de criação artística e reflexão filosófica REG117 - A - Seminário Integrador 4: A especificidade da formação do artista e do professor de arte, Etapa 1 . REG903 -A - Filosofia da Educação, Etapa 3 . REG905 - A - Psicologia da Educação REG906 - A - Sociologia da Educação REG108 - A - Fundamentos da Arte II REG109 - A - Percepção e Representação REG110 - A - Processos e Linguagens Tridimensionais REG111 - A - Desenvolvimento Expressivo Infanto-juvenil e Processos Educativos REG112 - A - Seminário Integrador 3: A escola e o contexto atual, Artes Visuais . Etapa 3, Etapa 1 . REG103 -A - Seminário Integrador 1: Ser professor no contexto atual, Etapa 2 . REG902 - A - Instrumentalização para Acesso a Informação REG904 - A - Teoria do conhecimento e Epistemologia REG909 - A - História e organização da Educação Brasileira REG104 - A - Fundamentos da Arte I REG105 - A - Arte e Processo REG106 - A - Arte e a Tecnologia Digital I REG107 - A - Seminário Integrador 2: Ser professor de Artes Visuais, Etapa 1 . REG101 -A2- Fundamentos da Linguagem Visual, Etapa 1 . REG901 -A - Instrumentalização para EAD, Artes Visuais . Etapa 4, Etapa 1 . REG102 -A2 - Sistemas de Representação, Artes Visuais Etapa 1