IHMC Public Cmaps

        ITIS LANCIANO TERZA B ELN 09_10
            SINTESI DEL LIBRO DI TESTO
                Tamburrino - Salemme
                    Risposta dei sistemi continui nel domino del tempo
                        Risposta al gradino
                        Images

                            Grafico poli complessi coniugati_2.jpg
                            Grafico poli complessi coniugati_3.jpg
                            Grafico poli complessi e coniugati.jpg
                            Grafico poli reali e coincidenti.jpg
                            Grafico poli reali e distinti.jpg
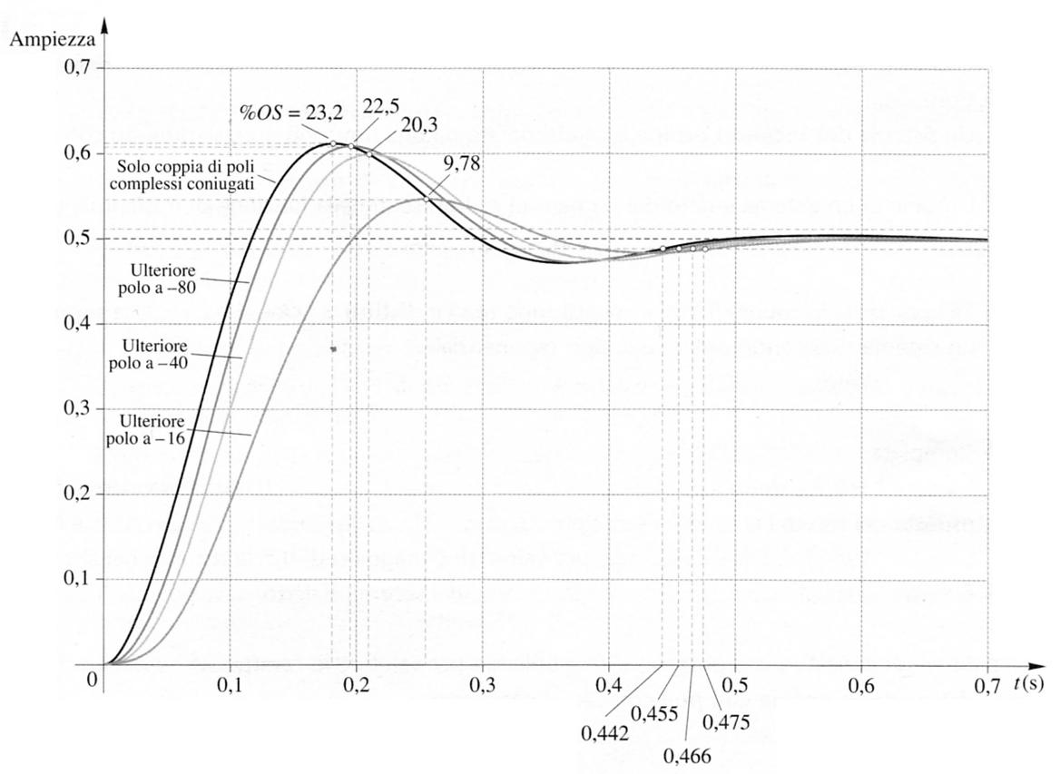
                            Grafico sistemi con più di due poli.jpg
                            Poli reali e coincidenti_relazione.jpg
                            Poli reali e coincidenti_tempi assestamento.jpg
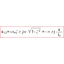
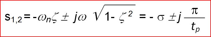
                            Risposta oscillatoria smorzata.jpg
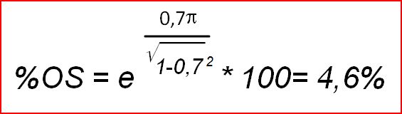
                            Sovraelongazione per 0,7.jpg
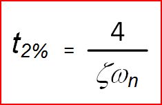
                            Tempo di assestamento.jpg
                            Tempo di picco.jpg
                            Valore Sovraelongazione OS.jpg