IHMC Public Cmaps

        ITIS LANCIANO TERZA B ELN 09_10
            SINTESI DEL LIBRO DI TESTO
                Tamburrino - Salemme
                    Risposta dei sistemi continui nel domino del tempo
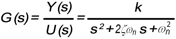
                        Poli della funzione di trasferimento
                        Images

                            Modello Matematico 2.jpg
                            Poli complessi e coniugati.jpg
                            Poli complessi e coniugati_2.jpg
                            Poli reali e coincidenti.jpg
                            Poli reali e coincidenti_2.jpg
                            Poli reali e distinti.jpg
                            Poli reali e distinti 2.jpg
                            Significato dei termini a e b.jpg
                            SISTEMI_MAPPA CONC copia.jpg
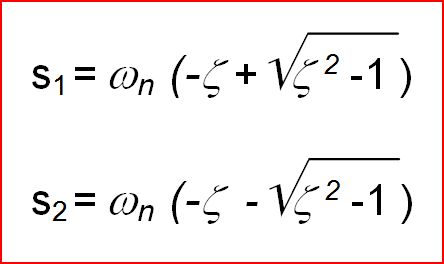
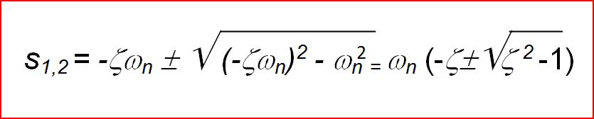
                            Valore dei due poli.jpg