Warning:
JavaScript is turned OFF. None of the links on this page will work until it is reactivated.
If you need help turning JavaScript On, click here.
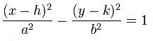
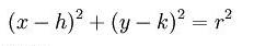
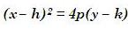
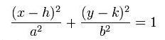
Este Cmap, tiene información relacionada con: Conicas, la curva intersección de un cono con un plano que no pasa por su vértice se clasifican Parábola, Elipse es es el lugar geométrico de los puntos del plano tales que la suma de las distancias a dos puntos fijos llamados focos es una constante positiva, Hipérbola ???? Paralela a "y", la curva intersección de un cono con un plano que no pasa por su vértice se clasifican Hipérbola, la curva intersección de un cono con un plano que no pasa por su vértice se clasifican Elipse, Parábola ecuación Paralela a "x", Parábola ecuación Paralela a "y", Elipse ecuación Paralela a "y", Hipérbola ???? Paralela a "x", Hipérbola es lugar geométrico de los puntos tales que el valor absoluto de la diferencia de sus distancias a dos puntos fijos, llamados focos, es igual a una constante positiva igual a la distancia entre los vértices., Parábola es lugar geométrico de los puntos equidistantes de una recta dada, llamada directriz, y un punto fijo que se denomina foco., Circunferencia es lugar geométrico de los puntos del plano equidistantes de otro fijo, llamado centro; esta distancia se denomina radio., Elipse ecuación Paralela a "x", Parábola Caso especial Circunferencia, CÓNICA es la curva intersección de un cono con un plano que no pasa por su vértice, Circunferencia ecuación