IHMC Public Cmaps

        CENTRO CULTURAL CHINO PANAMEÑO
            Secundaria
                matemática
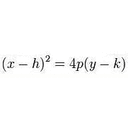
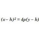
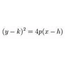
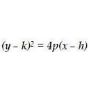
                Cónicas

                    1.jpg
                    2.jpg
                    3.jpg
                    4.jpg
                    5.jpg
                    6.jpg
                    7.jpg
                    82.gif
                    cg05.png
                    circunferencia.png
                    conicas.gif
                    Conicas.cmap
                    conicas009.jpg
                    elipse.jpg
                    Hiperbola_eu.png
                    HIPRBO~1.png
                    Parabola.png
                    ParabolaDirectrix_1000.gif
                    U3.1-Elipse-vertical.jpg