IHMC Public Cmaps

        Willington García
        Recursos para Potenciación y Radicación

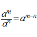
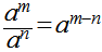
            Div Pot Igual Base.bmp
            Nom.bmp
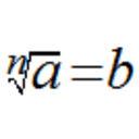
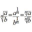
            Nom Rad.bmp
            Pot.bmp
            Pot Base 10.bmp
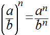
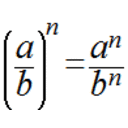
            Pot de una Div.bmp
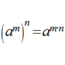
            Pot de una Pot.bmp
            Pot de una Raiz.bmp
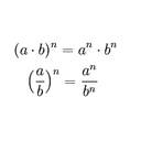
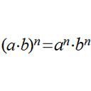
            Pot de un Prod.bmp
            Pot Exp 0.bmp
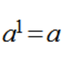
            Pot Exp 1.bmp
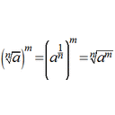
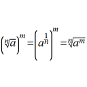
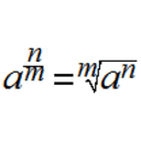
            Pot Exp Fracc.bmp
            Pot Exp Neg.bmp
            Prod Pot Base Distinta.bmp
            Prod Pot Igual Base.bmp
            Propiedad Distributiva.bmp
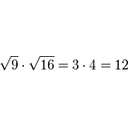
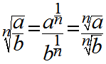
            Rad.bmp
            Raiz Cocient.bmp
            Raíz de una raíz.bmp
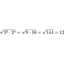
            Raiz Prod.bmp
            Raiz Prod II.bmp